为传承中华优秀传统家庭美德,探寻老物件背后的家风密码,以文字为桥,搭建起连接个人成长、家族记忆与家风传承的精神纽带。2025年11月10日-13日,护理学院举办“老物件·家记忆·好家风”主题征文比赛。
活动中,同学们围绕家中老物件,以细腻笔触勾勒岁月轮廓,书写背后的家族故事与家风传承。字里行间既有对长辈教诲的深切感悟,也有对家族变迁的温情追忆,更有对家风精神的深刻诠释。通过文字,蒙尘的老物件重焕光彩,无形的家风变得可感可触、可传可学。
此次活动不仅为学生提供了展现文采、抒发情感的平台,更让大家在创作交流中深化了对家风文化的认知,实现了个人成长与文化传承的双向赋能。护理学院将持续开展此类活动,让优良家风浸润学子心田,引导青年以家风为帆,坚定前行,以青春之力传承中华优秀传统文化。
优秀作品展示
一等奖
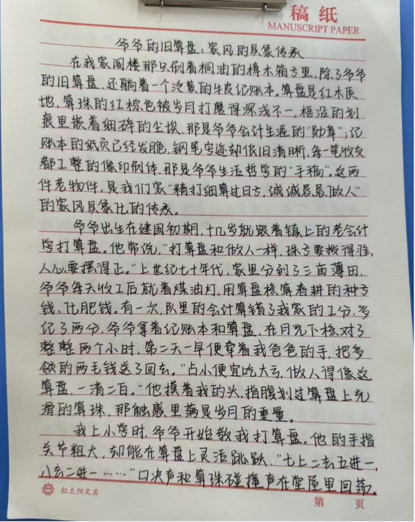
24级护理17班张琰

二等奖
24级护理16班杨佳文

24级护理11班张心茹

三等奖
24级护理14班刘桐畅

24级托育2班李瑞雪

24级南丁格尔2班马靖涵

优秀奖
24级护理8班宋泽晨

24级护理4班周岩

24级护理6班赵文卓
